📘 Nesta publicação, preparamos uma excelente Atividade de Física sobre Notação Exponencial, direcionada aos estudantes do Ensino Médio. A proposta apresenta exercícios que exploram a escrita de números muito grandes e muito pequenos utilizando potências de 10, favorecendo a compreensão e o uso adequado dessa forma de representação. Conheça, baixe e aplqiue em sala de aula!
Download e planejamento do conteúdo disponíveis no final da publicação

1. O Sistema Solar é formado por oito planetas, diversos satélites naturais (como a Lua) e o Sol, que é a estrela central. A Terra é o terceiro planeta em ordem de distância a partir do Sol.
Observe na figura abaixo o valor aproximado da distância média entre a Terra e o Sol:

Como este número é corretamente escrito em notação científica (notação exponencial)?
a) 14,96×107 km
b) 1,496×10-7 km
c) 14,96×106 km
d) 14,96×10-6 km
e) 1,496×10-6 km
2. Uma bactéria é um microrganismo tão pequeno que seu tamanho é frequentemente medido em micrômetros (µm). O micrômetro é uma unidade de medida mais prática para essa escala do que o metro.
A figura abaixo representa uma bactéria com um comprimento aproximado de:

Em notação exponencial, este número equivale a:
a) 3×106 m
b) 3×10-6 m
c) 3×105 m
d) 3×10-7 m
e) 3×10-5 m
3. Em um experimento de química, um cientista precisa calcular a soma de duas massas atômicas muito diferentes.
A primeira massa é representada por 5×104 u.m.a (unidades de massa atômica) e a segunda, bem menor, por 3×102 u.m.a.
O resultado da soma dessas duas massas, expresso em notação exponencial, é:
5×104+3×102
a) 5,003×104
b) 5,03×104
c) 8×104
d) 8×102
e) 503×102
4. A Torre Eiffel, o icônico monumento de Paris, possui uma altura total aproximada de 324 metros. Se quiséssemos expressar esta altura na unidade de milímetros (mm) e, em seguida, em notação científica (ou exponencial), qual seria o valor correto?

a) 3,24×104 mm
b) 3,24×105 mm
c) 3,24×106 mm
d) 3,24×107 mm
e) 3,24×108 mm
5. Uma bicicleta possui rodas com raio r = 25 cm. Escrito em notação exponencial e na unidade em metros, o raio r ficará na ordem de:
| km | hm | dam | m | dm | cm | mm |
a) 2,5×10-1 m
b) 25×10-1 m
c) 25×10-2 m
d) 2,5×102 m
e) 2,5×101 m
6. Observe abaixo as dimensões de um determinado do terreno.

Qual valor do perímetro deste terreno em notação exponencial?
a) 18×102 m
b) 18×103 m
c) 3,6×102 m
d) 3,6×103 m
e) 36×103 m
7. Um homem caminha em linha reta a distância de 1000 m, mas resolver inverter o sentido da caminhada, e na mesma direção volta 250 m. Em notação exponencial, seu deslocamento equivale a:

a) 7,5×103 m
b) 75×103 m
c) 7,5×10-2 m
d) 75×10-3 m
e) 7,5×102 m
8. Um engenheiro civil está calculando a área total de dois lotes de formato quadrado. O Lote 1 tem um lado que mede 2 x 102 e o Lote 2 tem um lado que mede 4 x 102. A área de um quadrado é dada por lado ao quadrado L2.

A área total dos dois lotes, em metros quadrados (m2), é o resultado da seguinte soma, que em notação exponencial equivale a:
a) 2×104
b) 5×105
c) 6×104
d) 2×105
e) 3×104
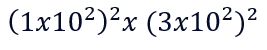
9. Em um cálculo teórico sobre a velocidade da luz ao interagir com um novo material, um físico precisa multiplicar o quadrado de dois fatores. O primeiro fator é 1 x 102 e o segundo 3 x 102

a) 7×108
b) 8×105
c) 8×108
d) 9×105
e) 9×108
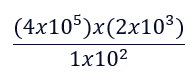
10. A densidade de um planeta em estudo está sendo calculada pela seguinte fórmula:

O resultado desta expressão em notação exponencial equivale a:
a) 8×10
b) 8×10
c) 8×106
d) 8×108
e) 8×105
+ Conteúdos de Física
Confira nossa página repleta de conteúdos semelhantes, especialmente desenvolvidos para esse público escolar. Materiais pedagógicos de alta qualidade, cuidadosamente preparados pelos produtores do Tudo Sala de Aula. Clique agora e escolha o tema da aula!
Planejamento para o professor
Objeto do conhecimento: Notação Exponencial.
Objetivo da Aula: Compreender e utilizar a notação exponencial para representar potências e números muito grandes ou muito pequenos, identificando sua aplicação em situações do cotidiano e resolvendo problemas que envolvam potências de base inteira.
Por favor, não compartilhe o PDF!
Reiteramos que todo o conteúdo do site Tudo Sala de Aula é original, produzido por equipe própria. Portanto, este material, assim como os demais, não pode ser publicado em sites pessoais ou copiado para a criação de apostilas para venda. Pirataria é crime! Estamos de olho! (Lei 9.610/98)
Gostou? Deixe um comentário!😍

Redação Tudo Sala de Aula
O Tudo Sala de Aula é composto por especialistas dedicados à produção de conteúdos educacionais de qualidade.