🧮 Excelente Atividade de Matemática sobre Sistema de Equações do 1º grau, destinada ao 8º e 9º ano, que estimula o raciocínio lógico e o pensamento matemático, ajudando os alunos a compreender a relação entre as variáveis de forma prática e objetiva. Conheça, baixe e aplique em sala de aula.
Download e planejamento do conteúdo disponíveis no final da publicação

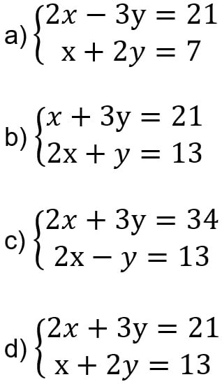
1. Em uma lanchonete, um grupo de amigos pediu 2 trufas e 3 picolés, gastando um total de R$ 21,00. No dia seguinte, outro grupo pediu 1 trufa e 2 picolés na mesma lanchonete, totalizando um gasto de R$ 13,00.
Sendo x o preço de cada trufa e y o preço de cada picolé, qual sistema de equações do 1º grau representa corretamente a situação descrita?

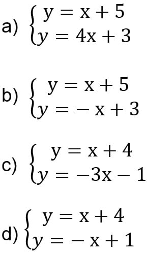
2. Observe, no plano cartesiano abaixo, a representação de um sistema de equações.

O sistema de equações correspondente ao gráfico é:

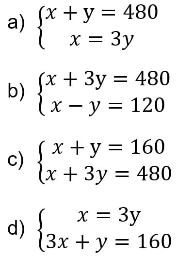
3. Uma influenciadora recebeu três vezes mais curtidas do que compartilhamentos em uma de suas postagens no Instagram, totalizando 480 interações. Sabendo que o número de curtidas e de compartilhamentos é diferente, qual sistema de equações do 1º grau representa corretamente essa situação?

4. Um cinema vende ingressos para adultos e para crianças. Em um dia, foram vendidos 80 ingressos, totalizando R$ 1.000,00. Sabendo que o ingresso para adulto custa R$ 15,00 e o ingresso para criança custa R$ 10,00, o número de ingressos vendidos para adultos foi:
a) 20
b) 30
c) 40
d) 50
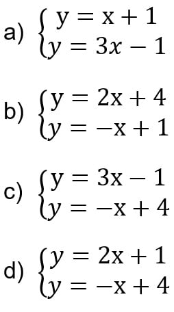
5. Na aula de Matemática, o professor Henrique desafiou seus alunos a resolverem alguns sistemas de equações do 1º grau. Observe a seguir estes sistemas.

Os sistemas que apresentam como solução o par ordenado (3,8) são:
a) I e II.
b) I e III.
c) II e III.
d) II e IV.
6. Na cantina da escola de Laura são vendidos sucos e sanduíches. Cada suco custa R$ 4,00 e cada sanduíche, R$ 6,00. No total, foram vendidos 50 produtos, somando R$ 240,00 em vendas. Quantos sanduíches foram vendidos?
a) 20
b) 25
c) 30
d) 35
7. Observe a representação gráfica de um sistema de equações do 1º grau.

A representação algébrica desse sistema de equações é

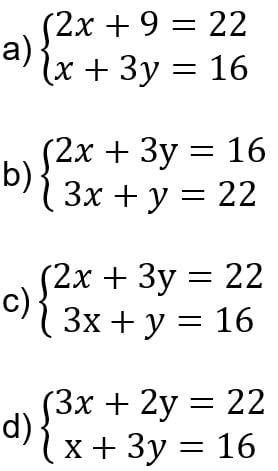
8. Giulia e Marina foram a uma papelaria comprar material escolar. Giulia comprou 2 canetas e 3 cadernos e pagou R$ 22,00; Marina comprou 3 canetas e 1 caderno, totalizando R$ 16,00.
Se x representa o preço de cada caneta e y o preço de cada caderno, qual sistema de equações do 1º grau permite calcular os valores de x e de y?

9. No plano cartesiano a seguir estão destacados os pontos P, Q, R e S e as retas m, n, t e v.

O sistema de equações do primeiro grau cuja solução está representada pelo ponto S nesse plano cartesiano é

10. Observe a representação gráfica de um sistema de equações do 1º grau.

O sistema de equações que corresponde ao gráfico é

Gostaria de Resolver esta Atividade Online?
+ Conteúdos de Matemática para o 8º e 9º ano
Confira nossa página repleta de conteúdos semelhantes, especialmente desenvolvidos para esse público escolar. Materiais pedagógicos de alta qualidade, cuidadosamente preparados pelos produtores do Tudo Sala de Aula. Clique agora e escolha o tema da aula!
Planejamento para o professor
Objeto do conhecimento: Problemas envolvendo Sistema de Equações do 1º grau.
Objetivo da Aula: Resolver problemas envolvendo sistema de equações do 1º grau com duas incógnitas.
Habilidade do Saeb: (9A1.2) – Inferir uma equação, inequação polinomial de 1º grau ou um sistema de equações de 1º grau com duas incógnitas que modela um problema. (9A2.3) – Resolver problemas que possam ser representados por sistema de equações de 1º grau com duas incógnitas.
Por favor, não compartilhe o PDF!
Reiteramos que todo o conteúdo do site Tudo Sala de Aula é original, produzido por equipe própria. Portanto, este material, assim como os demais, não pode ser publicado em sites pessoais ou copiado para a criação de apostilas para venda. Pirataria é crime! Estamos de olho! (Lei 9.610/98)
Gostou? Deixe um comentário!😍

Por Eleí dos Santos
Licenciada em Matemática, especialista em Didática da Matemática, Psicopedagogia e Educação Especial.
O conteúdo foi revisado e certificado pela equipe de Redação do Tudo Sala de Aula.
Não consigo baixar o pdf
MUITO BOM TODO O MATERIAL…..
Não estou conseguindo baixar essa atividade.
Ótimo
Não consigo baixar o exercício.
Como faz para baixar, alguém conseguiu?
nao abre que pena!!!